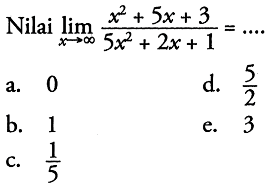
Kumpulan Contoh Soal <!-- -->Limit Fungsi<!-- --> - <!-- -->Matematika<!-- --> Kelas <!-- -->11<!-- --> | CoLearn<!-- --> - halaman 59
  • Tanya
  • 11 SMA
  • Matematika

Video Contoh Soal Limit Fungsi Kelas 11

No solutions found

Maaf ya, video solusinya belum ketemu

Coba cari soal Matematika, Fisika atau Kimia yang lain, yuk.

Ngerti materi denganTanya

Cari soal Matematika, Fisika, Kimia dan tonton video pembahasan biar ngerti materinya.

  • Matematika, Fisika dan Kimia
  • SD (Kelas 5-6), SMP dan SMA
  • 300,000+ video pembahasan soal
  • Semua video udah dicek kebenarannya
Understand Tanya benefits

Sukses nggak pernah instan. Latihan topik lain, yuk!

© 2021 CoLearn. Hak Cipta Dilindungi.

Neco Bathing