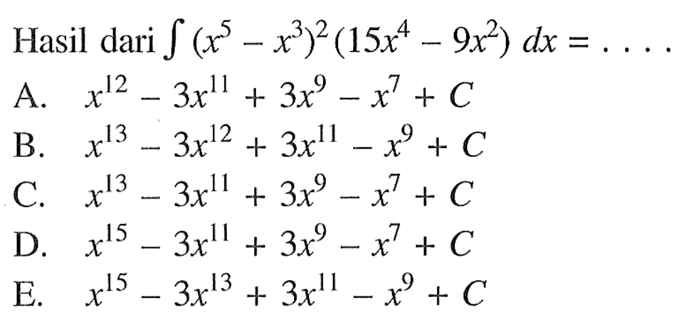
Kumpulan Contoh Soal <!-- -->Rumus Dasar Integral<!-- --> - <!-- -->Matematika<!-- --> Kelas <!-- -->11<!-- --> | CoLearn<!-- --> - halaman 7

Ngerti materi denganTanya

Cari soal Matematika, Fisika, Kimia dan tonton video pembahasan biar ngerti materinya.

  • Matematika, Fisika dan Kimia
  • SD (Kelas 5-6), SMP dan SMA
  • 300,000+ video pembahasan soal
  • Semua video udah dicek kebenarannya
Understand Tanya benefits

Sukses nggak pernah instan. Latihan topik lain, yuk!

© 2021 CoLearn. Hak Cipta Dilindungi.

Neco Bathing