- Tanya
- 11 SMA
- Matematika
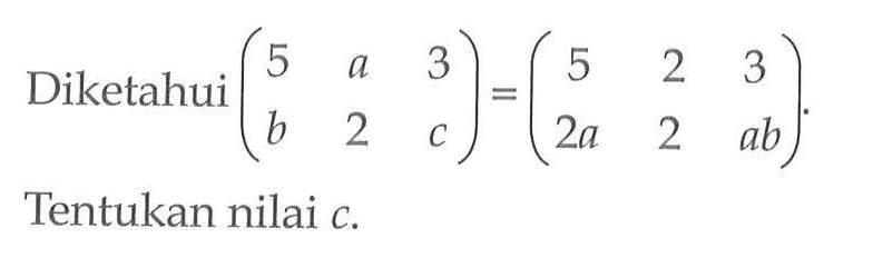
Video Contoh Soal Kesamaan Dua Matriks Kelas 11
Sukses nggak pernah instan. Latihan topik lain, yuk!
12 SMA
11 SMA
10 SMA
- Fungsi
- Trigonometri
- Skalar dan vektor serta operasi aljabar vektor
- Logika Matematika
- Persamaan Dan Pertidaksamaan Linear Satu Variabel Wajib
- Pertidaksamaan Rasional Dan Irasional Satu Variabel
- Sistem Persamaan Linear Tiga Variabel
- Sistem Pertidaksamaan Dua Variabel
- Sistem Persamaan Linier Dua Variabel
- Sistem Pertidaksamaan Linier Dua Variabel
- Grafik, Persamaan, Dan Pertidaksamaan Eksponen Dan Logaritma
9 SMP
8 SMP
7 SMP
6 SD
5 SD
4 SD
12 SMA
11 SMA
- Hukum Termodinamika
- Ciri-Ciri Gelombang Mekanik
- Gelombang Berjalan dan Gelombang Stasioner
- Gelombang Bunyi
- Gelombang Cahaya
- Alat-Alat Optik
- Gejala Pemanasan Global
- Alternatif Solusi
- Keseimbangan Dan Dinamika Rotasi
- Elastisitas Dan Hukum Hooke
- Fluida Statik
- Fluida Dinamik
- Suhu, Kalor Dan Perpindahan Kalor
- Teori Kinetik Gas
10 SMA
9 SMP
8 SMP
7 SMP
12 SMA
11 SMA
10 SMA
- Larutan Elektrolit dan Larutan Non-Elektrolit
- Reaksi Reduksi dan Oksidasi serta Tata Nama Senyawa
- Hukum-Hukum Dasar Kimia dan Stoikiometri
- Metode Ilmiah, Hakikat Ilmu Kimia, Keselamatan dan Keamanan Kimia di Laboratorium, serta Peran Kimia dalam Kehidupan
- Struktur Atom Dan Tabel Periodik
- Ikatan Kimia, Bentuk Molekul, Dan Interaksi Antarmolekul

